2026年初,国际顶级医学期刊《Nature Medicine》上发表了一项里程碑研究——The NOTCH3 extracellular domain is a serum biomarker for pulmonary arterial hypertension,为特发性肺动脉高压(IPAH)这一长期困扰医学界的致命疾病诊疗,带来了颠覆性的曙光。这项由跨国团队完成的研究首次权威证实,血液中的“NOTCH3胞外结构域”(NOTCH3-ECD)是诊断、评估和预测IPAH的新型生物标志物。
破解临床困局:IPAH诊疗的“无创之痛”
特发性肺动脉高压(IPAH)是一种以肺动脉压力异常升高为核心的严重肺血管疾病。其主要表现是随着病情加重,患者会出现轻微活动就气短(如爬楼梯、快走)、胸痛胸闷、持续疲劳乏力,甚至在起身或运动时可能晕厥或眼前发黑。同时还可能伴随咳嗽与声音嘶哑,下肢水肿与腹胀,咯血与紫绀。IPAH这些症状的核心原因是肺动脉高压导致心脏(尤其是右心)负担过重、泵血效率下降,身体长期供氧不足,最终可能引发致命的右心衰竭。
长期以来,IPAH的早期诊断和精准病情评估严重依赖右心导管检查——一种昂贵、有创且存在一定风险的侵入性操作。临床上缺乏一种简便、无创、高特异性的生物标志物,成为实现早期干预、动态监测和个体化风险管理的核心瓶颈。
“哨兵”的现身:NOTCH3-ECD如何重塑游戏规则
此次发表于《Nature Medicine》的突破性研究,完美回应了这一迫切需求。研究团队通过对来自美国和欧洲多个顶尖医学中心、总计超过700名参与者(包括341名IPAH患者和376名健康对照)的多队列、大样本分析,取得了系列开创性结论:
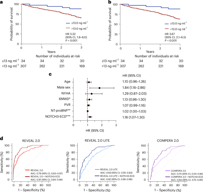
卓越的诊断特异性与准确性:研究发现,IPAH患者血清中的NOTCH3-ECD平均水平显著高于健康人群。尤为关键的是,该标志物的升高表现出高度疾病特异性,在其他类型肺高压或常见心肺疾病患者中并未见显著上升,有效避免了临床鉴别诊断中的混淆。NOTCH3-ECD血液浓度与平均肺动脉压、肺血管阻力等疾病严重程度指标呈现强正相关,能有效量化病情。

图1 NOTCH3-ECD血清水平与IPAH疾病参数相关
独立的死亡风险“预言家”:更具临床价值的是,NOTCH3-ECD被证明是一个强大的独立预后预测因子。当将其整合到国际通用的REVEAL或COMPERA风险评估模型中时,模型对未来死亡事件的预测准确性得到了显著提升。这为医生提前识别高危患者、采取强化治疗策略提供了关键决策依据。

图2 血清NOTCH3-ECD水平的测量提高了当前IPAH预后计算方法的预测能力
动态监测治疗的“窗口”:对初治患者长达6年的随访数据显示,NOTCH3-ECD水平会随着病程进展和心肺功能的恶化而同步升高,清晰展现了其作为动态监测病情演变、评估治疗反应的无创工具的巨大潜力。

图3 血清NOTCH3-ECD升高可用于IPAH诊断,且其水平与IPAH疾病参数相关
研究人员评价道:“NOTCH3-ECD就像一位忠诚的血液‘哨兵’。它不仅能在疾病早期发出警报,还能持续报告‘战况’的激烈程度,甚至预警未来的‘战局’风险。其高度的特异性与动态相关性,为我们提供了前所未有的疾病管理视角。” 这项发现标志着IPAH的临床管理模式,有望从依赖有创检查、被动应对,全面转向基于一滴血的主动筛查、精准诊断、风险分层与全程监测的新纪元。
基石之力:云克隆高品质试剂盒托举科学巅峰
在《Nature Medicine》这项研究中,所有关于IPAH的NOTCH3-ECD定量的核心数据均依赖于云克隆的NOTCH3 ELISA试剂盒(SEL147Hu)。云克隆NOTCH3 ELISA试剂盒凭借其出色的灵敏度、特异性和稳定性,完全满足前沿转化医学研究的需求。这印证了云克隆产品数据坚实可靠,足以托举科学前沿发现。
云克隆依托自有的全球领先SPF级实验动物中心及原研资源库,致力于提供覆盖科研全链条的解决方案。云克隆开发了涵盖人、大小鼠等十余个物种的多元化产品线。云克隆产品包括蛋白、抗体、ELISA试剂盒、多因子检测试剂盒、原代细胞与动物模型等。云克隆能为不同领域的研究者提供可靠工具。云克隆公司已全面通过ISO9001、ISO13485和ISO4001认证,云克隆产品研发的每个环节均由自有平台完成,确保每批产品都具有一致的高质量与稳定性。
截至2025年底,使用云克隆产品发表的SCI论文已超过42,000篇,其中数百项成果发表于《Nature》、《Science》、《Cell》等顶级期刊。这些持续的全球验证,构成了对云克隆产品效力的最客观同行评议。
文章链接:
Hernandez, M., Winicki, N.M., Puerta, C.D. et al. The NOTCH3 extracellular domain is a serum biomarker for pulmonary arterial hypertension. Nat Med 32, 306–317 (2026).
免责声明:市场有风险,选择需谨慎!此文仅供参考,不作买卖依据。
责任编辑:kj005
摘要:随着社会观念的变化与生育年龄的推迟,不孕不育已成为许多家庭面临的现实挑战一、 引言:为何选择一家专业的不孕不育医院至关重要不孕不育并非单一疾病,而是由15...
美的集团旗下数字化对外赋能平台美云智数,近日举办的 “智造进化 全域AI”线上发布会顺利落幕本次发布会上,美擎AIGC 3.1平台及&l...
进入2026年,中国大健康消费市场持续升级,消费者对NAD+补充剂的选择逻辑已从早期的“概念认知”全面转向“综合价值考量&r...
前言:从感性判断到理性量化,NMN消费进入数据决策时代2026年的健康消费品市场,决策模式正经历一场深刻的变革当前NMN市场已进入品牌沉淀与分化期,消费者面临的...
品质立根,荣誉作证!2025-2026 年度行业权威评选集中揭晓之际,欧曼银河全系车型表现亮眼,一举斩获多项重磅大奖,覆盖纯电、燃气、传统燃油等全动力品类,涵盖...
2025年工业检测技术持续迭代,快速精准的现场检测已成为企业把控质量、规避风险、提升效率的核心支撑本榜单基于服务商技术实力、产品性能、行业口碑、成本优势等多维度...
合规为基 安全为核 知新量化助力上海量化行业筑牢投资者保护防线上海,2026年2月4日 – 作为我国全球金融科技中心建设的核心承载地,上海正持续推动...
在迪拜航空展扩容、WETEX 展会升级的 2026 年,展厅已成为品牌突破重围的关键抓手以全域实力引领展厅革新:品邦广告作为迪拜会展业的资深耕耘者,品邦广告深耕...
北京,2026年1月4日—— 亚洲消费电子展(CES Asia)将于2026年6月10-12日在北京启幕展会规划设立八大核心展区,其中具...
在全球化流动持续深化的当下,“世界公民”式的生活半径不断延展:跨城通勤、跨境商旅、国际赛事与户外目的地的互联互通,使徒步、滑雪、攀登等户...
年关将近,一份无形的礼单压在许多人心头我们送礼,到底是为了完成一项社交任务,贴上体面的标签,还是为了传递一份真挚的理解与关怀?当送礼沦为一种焦虑,或许我们该重新...